|
管理员
|
消息称胡玮炜卸任摩拜CEO,称无关宫斗
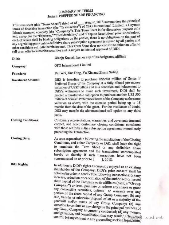
八姐接到爆料称,今日凌晨,摩拜创始人、CEO胡玮炜宣布不再担任CEO,由刘禹接任摩拜CEO一职。 胡玮炜在内部邮件中表示,这其中并没有“宫斗”,没有不和,也没有任何组织的纠葛。 今年4月4日,美团与摩拜联合宣布,签署美团全资收购摩拜的协议。4月28日,摩拜联合创始人王晓峰因个人原因,卸任CEO,出任摩拜单车顾问。 此次接任胡玮炜担任CEO的刘禹,在加入摩拜前,曾任阿里巴巴集团旗下阿里语言总经理,也是摩拜的特别顾问。 ![]() 有分析称,胡玮炜也卸任CEO表明,摩拜已经完全美团化。而也有声音称,摩拜也将进行新的员工优化。 ![]() 亲爱的mobikers: 在美团收购摩拜8个月的时间里,我完成了阶段性的使命,把摩拜平稳的交接给了刘禹。今天跟大家宣布,我将不再任摩拜单车的CEO,由刘禹接任摩拜CEO一职。 毋庸置疑,作为一个创始人,摩拜就像自己的孩子一样的爱,但是大家也都能明白,最好的爱不是去捆绑在自己身上,而是在合适的时间放手让其更快的成长,我想现在就是我放手的最好时机。我们之前一直强调mobike love,那么mobike love到底是什么呢?我想这不仅仅是因为love摩拜的酷,科技和创新,也不仅仅是爱摩拜给城市带来的变化,而是要拼尽全力让摩拜越来越好。 回顾过去,业界对共享单车从高调捧红,到开始唱衰,但是这些并不重要,重要的是,我们停止了激进的扩张,真正回到本质去思考问题。我们把绝大部分精力放在修炼基本功,更加重视用户体验,和对资产盘点,运营,维护的有效性。从这8个月的数字上看,我们大规模的削减了成本,也大大的提升了收入和订单数。但是这还远远,远远不够,接下去摩拜需要进行更加彻底的“基本功”修炼,这是非常艰巨的任务,也是相对“冷酷”的任务,需要大家一起努力,上下同心才能达到最好的效果。我希望大家要非常清晰的意识到,对于一个组织,不进步就会死亡。 关于摩拜,和共享单车的未来,我想没有最初我们认知的那么简单,也不应该像如今外界的很多评价那么悲观,在我看来,这才刚刚开始。20年后,即便有了无人驾驶,甚至没有了手机,自行车的共享出行仍然是被需要的,所以摩拜每个人至少要站在一个3-5年的周期上来看这件事情,长期有耐心,持续的把基本功做好,并且更好的融入到美团的大组织里去。对于美团,摩拜正在积极拥抱,心怀感恩,这样才能协同成一个更强的有机体。 要和大家说再见,但我是心怀希望的,美团是一个非常科学,客观的大家庭,非常多值得学习的方法论,我相信摩拜将会越来越好。而我认为出行行业的变革还仅仅是一个萌芽阶段,未来还大有可为,所以我仍然会在这个领域里面,投入我的时间和精力去创业,这本来就是一个缓慢,需要耐心的领域。 感谢大家,感谢摩拜,也感谢美团,太多的感谢在心里,也感谢自己。谢谢,再见。 在这里我必须说明,并没有“宫斗”,没有不和,也没有任何组织的纠葛(让媒体失望了)。 胡玮炜 PS:The best journey answers the question that in the beginning you didn’t even think to ask。——《180 Degrees South》 摩拜女教主携上亿身家离场,曾当汽车记者月薪三千 “作为一个创始人,摩拜就像自己的孩子一样的爱,但是大家也都能明白,最好的爱不是去捆绑在自己身上,而是在合适的时间放手让其更快的成长,我想现在就是我放手的最好时机。” 12月23日曝光的内部信中,胡玮炜称已完成阶段性任务,卸任摩拜单车CEO,由公司总裁刘禹接任,这是“放手的最好时机。” 没曾想,摩拜创始人胡玮炜选择在这个时间点“放手”。彼时,胡玮炜的老对手,ofo创始人戴威,因超千万人排队退押金正接受着外界毫不留情地口诛笔伐。 在过去几年,共享单车一直是资本竞相追逐的风口,根据交通部数据,截至2017年底,有77家共享单车企业进入市场,累计投放单车2300万辆,注册用户达4亿人次,累计服务170亿人次,日最高使用量达7000万次。 从今年4月摩拜卖身美团,到胡玮炜此次彻底的放手,更像在说:风口已逝。 从月薪不过万到身家过亿 今年4月4日,摩拜总价37亿美元卖身美团成定局。据AI财经社在此前报道,卖身后,胡玮炜身家将至少达到4.2亿元,最高有可能达到16.9亿元。 摩拜卖身后,一篇《摩拜创始人胡玮炜套现15亿:你的同龄人正在抛弃你》的文章,以指数级增长的阅读量刷爆网络。当然,这篇爆文也因有贩卖焦虑的嫌疑遭到众人的抵制。 不得不承认的是,2004年于浙江大学城市学院毕业后,对于汽车记者岗位混迹近十年的胡玮炜而言,月薪上万都是奢侈。据媒体报道,胡玮炜第一份工作——汽车记者岗位,月薪只有3000元,除去房租和日常开销所剩无几。 创办摩拜成名后,胡玮炜身份反转,成为了被报道的对象。在媒体的报道里,胡玮炜更多的标签是文艺女青年。对于创业者来说,文艺女青年并不是一个值得称赞的标签,这多少有点感性和理想主义的意味。 但在对待创业上,胡玮炜又有其充满韧性和不服输的一面。2013年,在美国参加消费类电子展后,灵光乍现的胡玮炜试图说服老板开设“汽车与科技”新栏目,不料却被反问“广告收入从哪来”。一气之下,胡玮炜决定单干,2014年年后创立极客汽车,立志做一家国内最好、最有趣的汽车科技新媒体。 2014年11月,当时胡玮炜出行团队想做一个颜值高、智能助力的电动车,就带着融资需求去见“出行教父”李斌。不过,李斌兴趣不在此,反而提出共享自行车的概念,当晚还想好了品牌名mobike,中文名为摩拜。随后,李斌邀请胡玮炜加入,两人一拍即合。 2015年1月,摩拜科技有限公司成立。胡玮炜的父亲是个木雕匠人,受父亲工匠精神影响,文艺女青年胡玮炜将研发看得极为重要。在她看来,摩拜单车必须有这几个条件:日晒雨淋不会有部件损坏,车链子不会掉,有智能锁可以联网定位。 这些不可思议的要求,吓跑了一堆自行车生产商。连一同的出行团队都觉得不靠谱,赚钱难度大,相继离开自立门户。形势所迫,胡玮炜成为了项目创始人。 开弓没有回头箭,已为人母的光杆司令胡玮炜,开始亲力亲为。跑工厂、看原材料、找设计师,到2015年11月,第一代200辆摩拜单车问世,1个月后,上海试点。13个小时后所有车被骑走,当晚,胡玮炜彻夜未眠,死盯着后台,单车已停落在上海五六个城区。 但在第一批车问世前,面对成本巨大、后续资金未到账的情况,一心造车的胡玮炜选择出让极客汽车大部分股权,依然缺钱的胡玮炜甚至盯向高利贷,月息两分。 不过,缺钱只是暂时性的。 胡玮炜的资本故事 摩拜单车投放进市场后,文艺女青年胡玮炜的资本故事才正式拉开帷幕。这里面有关于对资本的追逐,也有与同行之间的殊死搏斗。 在共享单车高歌猛进的时代,胡玮炜等一众共享单车创始人备受关注,胡玮炜本人还被外界捧为“创业女神”。发表演讲、现身高校、上央视,在被资本追捧的两年里,胡玮炜频繁与大众见面,着力塑造摩拜的情怀与价值观。有人直言,胡玮炜养活了不少财经自媒体、科技自媒体甚至是娱乐自媒体。 第三方平台数据显示,被美团收购前,摩拜经历了从天使轮到F轮共计12轮、远超20亿美元的密集融资。主要发生在2016、2017两年。与之并肩的则是前北大学生会主席的创业项目ofo。截至目前,ofo共经历10轮轮融资,融资金额也在20亿美元之上。 在投资方上,摩拜是腾讯系投资项目,而ofo则属于阿里系。从接受AT投资的那一刻起,双方的较量就已经不是简单的同行之间的你争我夺,而是巨头之间的对决战场。 双方的骂战尤其精彩。去年5月,共享单车领域爆出贪腐风波。一名认证为“前ofo共享员工”的用户在某社交软件上爆料,称ofo“从高层到基层贪腐现象严重”。巧合的是,老对手摩拜紧接着也被爆出高管贪腐的消息,数额高达亿元。对此,摩拜公关经理潘飞虎认为摩拜的贪腐消息来得非常“无厘头”,矛头暗指ofo;ofo投资方真格基金反问道:“那你觉得ofo相关文章谁写的呢?”一来一回间,火药味十足。 不过,2017年的寒冬,改变了共享单车巨头斗争的方向。据AI财经社此前报道,由于资金吃紧,摩拜和ofo从2017年11月开始进行人员优化,多个城市的外包兼职率先被解雇,部分城市甚至在冬季出现运维近乎停摆的状态。 当时的状况对摩拜来说更为严峻。根据蓝鲸TMT公布的摩拜财务报表显示,截止2017年12月,摩拜持有现金37.52亿元,欠供应商10亿元,挪用用户押金60亿元。另外,摩拜每月运营支出超过4亿元,2017年12月单月营收为1.1亿元人民币,每车每天仅周转1次。 没能及时补血、又欠缺自我造血的能力,后来的事情也是众所周知的了。据新京报报道,今年4月3日晚间,摩拜召开股东会议表决通过美团收购案。知情人士称,美团以35%美团股权、65%现金收购摩拜单车,其中3.2亿美元作为未来流动性补充,A、B轮投资人及创始团队以7.5亿美元现金出局。收购总价37亿美元,包括27亿美元的实际作价(12亿美元现金和15亿美元股权),以及10亿美元债务。 工商信息更新显示,北京摩拜科技有限公司于11月27日正式完成了股东工商变更,创始人胡玮炜、投资人李斌、原CEO王晓峰、CTO夏一平等人退出,美团创始人王兴成大股东,持有北京摩拜科技95%的股份,美团联合创始人兼CTO穆荣均持有5%股份。新增摩拜总裁刘禹为监事。 共享单车下半场:胡玮炜离场,戴威死扛 如今,共享单车两大创始人胡玮炜、戴威再次被同时提起,不过,与深陷资金链断裂困局的ofo创始人戴威比起来,早早离场的胡玮炜应该是一身轻松。 战场内外,摩拜绕不开ofo,胡玮炜也避不开戴威。 不比文艺女青年胡玮炜,戴威是北大学生会主席出身,在不少媒体的表述里,戴威天生领袖气质。而1991年出身的戴威,年轻气盛,有着大把的闯劲,在外人看来表面温和的戴威,从不掩饰自己的雄心。“敢想敢做”,是戴威大学同学给出的评价。 在共享单车进入白热化之后,双方在规模、资本和用户体验方面越来越趋同,唯一的差别则可能是管理与团队。 众所周知,胡玮炜成功的背后,离不开三个男人:一个是摩拜的天使投资人李斌,一个是摩拜的运营操盘手王晓峰,另一个则是摩拜的最终接盘侠王兴。 当并不擅长企业运营的胡玮炜告诉李斌,自己需要一个CEO时,李斌找来了时任优步上海总经理的王晓峰,加上首席技术官夏一平,摩拜创始团队正式组建完整。擅长经营的王晓峰加入后,胡玮炜、夏一平三人各司其职,形成稳定互补的“铁三角”。在摩拜开需扩张的那两年,王晓峰功不可没。 相比之下,戴威的管理团队则显得不够成熟。ofo的初创团队是5人,但是最有想法的戴威起着绝对的领导作用,决策拍板是他,对外发言是他,对接媒体的也是他,其余四个人的形象和能力特长较为模糊。戴威这种由始至终的掌控力,也成为最近马化腾在评论分析ofo溃败时所说的真正原因——”Veto right”。 这里的“Veto right”正是戴威手中的一票否决权。有投资人曾对AI财经社表示,“几个关键时刻都是戴威一票否决了。” 摩拜团队并不是没有遇到过团队问题。早前就有传闻胡玮炜被王晓峰架空,坊间更有传闻称胡玮炜只是李斌的傀儡。 收购摩拜后,王兴发内部信称,摩拜将继续保持独立品牌、独立运营,摩拜的管理团队将保持不变,王晓峰将继续担任CEO,胡玮炜将继续担任总裁,夏一平将继续担任CTO,王兴则担任董事长。一个月不到的4月28日,摩拜董事长王兴和创始人胡玮炜通过内部信宣布,胡玮炜出任摩拜CEO,王晓峰出局,卸任CEO职位,担任摩拜单车顾问。外界直呼“变脸太快!”到今天,摩拜原创始人相继出局。 面对傀儡的谣言,李斌在接受《商业周刊/中文版》采访时笑称,“这个阴谋论太狗血了。” 12月23日内部信最后,胡玮炜对此前甚嚣尘上的宫斗传闻也进行回应,“ 在这里我必须说明,并没有‘宫斗’,没有不和,也没有任何组织的纠葛(让媒体失望了)。” 对于胡玮炜的卸任,美团点评CEO王兴表示,“非常感谢胡玮炜,不仅创立和塑造了摩拜这个优秀的品牌,也打造了一个优秀的团队,优秀的业务基础。祝福玮炜再创佳绩,也相信摩拜会越来越好。” 内部信中,胡玮炜透露,“我仍然会在这个领域里面,投入我的时间和精力去创业。” 当胡玮炜套现笑着离开之时,她曾经的老对手戴威却在押金的泥淖里,不知明天在何方。 滴滴曾欲以估值20亿美元收购ofo文件曝光 ![]() 欢迎关注“创事记”的微信订阅号:sinachuangshiji 文/雷建平 遭遇用户退押金潮,创始人进入老赖名单的ofo原本有可以挽救的机会。 雷帝网获得的信息显示,滴滴曾准备今年8月以20亿美元的估值买入5亿美元的ofo公司F类股票。 滴滴还拥有以同样估值在18个月内再以5亿美元买入ofo公司F类股票的权利。 ![]() 在滴滴给ofo抛出的收购书中,滴滴利用了一票否决权,不允许ofo与滴滴的竞争对手达成任何联盟合作,或ofo向滴滴的任何竞争对手出售比较多的优先股。 ![]() 在滴滴设计给ofo的董事会席位上,一共有5席,其中,滴滴将占有2席,1席为ofo管理层所有,剩下的2席交给ofo的其他投资人。 ![]() 此外,滴滴还要求,ofo的关键岗位人员包括CEO、CFO、COO、CTO和HR负责人的任命、替换或解雇都必须由滴滴决定。 在这个过程中,阿里有意让旗下的哈罗单车与ofo合并,也向ofo递交了几次的并购意向,但滴滴利用了一票否决权,阻拦了这一交易的发生。 阿里并无ofo一票否决权在戴威成为“老赖”后,腾讯CEO马化腾在朋友圈表示,这是一个veto right(否决权)的问题,但很多人矛头指向了滴滴和阿里。 ![]() 但当前,阿里并无ofo一票否决权,原因如下: 今年初,阿里入股ofo,而坚持摩拜和ofo合并的ofo投资人、金沙江合伙人朱啸虎看到再持续下去ofo会很危险,希望退出。 阿里看到朱啸虎的态度,又有一票否决权,就想买他的股份和一票否决权。 不过,阿里相关人士表示,阿里并未能获得朱啸虎所有的股份,滴滴利用了一票否决权也购买了其中一部分,因此,阿里并未获得所谓的一票否决权。 这使得在当前ofo的架构中,戴威代表管理团队行使投票权,拥有1票否决权。 滴滴和经纬也拥有一票否决权。但经纬是财务投资人,基本没有使用一票否决权,关键点在于滴滴与戴威。但滴滴与戴威的失和,让ofo危机重重。 从滴滴给ofo的收购文件看,ofo在滴滴面前很弱势。 实际上,双方关系早已趋于不好。当初,滴滴系的付强出任ofo执行总裁,但仅仅4个月时间,戴威就让付强从ofo立刻滚蛋。 与付强一起离开的,还有不少滴滴派驻的老臣,导致双方关系剑拔弩张,此后滴滴推出单车品牌“青桔单车”,收购小蓝单车的运营业务,与ofo直接竞争。 在滴滴给ofo的收购计划中,滴滴还准备帮ofo引入软银投资,金额超过2亿美元,但滴滴的前提是尽可能给ofo杀价。 传闻称,软银派出的尽调团队曾在中关村一家酒店住了好几个月,对ofo完成尽职调查,决定投资,但在滴滴各种花式阻扰下,软银的孙正义最终没有签字。 滴滴一直向外界强调从未阻碍ofo的融资,但事实上是,戴威与滴滴在相互看不顺眼的情况下,相互使用否决权,让ofo白白丧失了机会。 据知情人士透露,随着ofo半年时间情况迅速恶化,用户退押金潮,戴威进入老赖名单,滴滴和阿里都丧失收购ofo的兴趣,如今的ofo正面临垂死挣扎的困境。 摩拜和ofo在2017年都风光一时摩拜和ofo在2017年都风光一时,但是行业热潮将两位创始人推向了历史的舞台。随着行业归于平静,如今胡玮炜和戴威都要退出舞台。 就在今日,摩拜宣布摩拜创始人胡玮炜辞去CEO职位,由总裁刘禹接任。一位业内人士指出,共享单车终于还是行业巨头的游戏。 【滴滴收购ofo文件曝光?滴滴李敏:幼稚得很】 今日下午消息,一份所谓的“滴滴收购ofo文件”在网上流传,据文件内容显示,滴滴利用一票否决权,不允许ofo与滴滴的竞争对手达成任何联盟合作。对此,滴滴副总裁李敏在微信朋友圈辟谣称,其实10月9日就公开辟谣过,但今天同样的谣言再次出现,幼稚得很,跟小娃娃过家家似的。从ofo2016年C轮至最近的E轮融资中,滴滴每轮均有参与,累计共投资3.5亿美元。作为投资人,滴滴从未、并承诺未来也不会行使一票否决权。(金融界) 2018-12-23 09:03:21 创事记 微博 文/开柒 消息称胡玮炜卸任摩拜CEO,称无关宫斗 http://tech.sina.com.cn/csj/2018-12-23/doc-ihmutuee1823744.shtml 百家号12-2316:40 AI财经社 摩拜女教主携上亿身家离场,曾当汽车记者月薪三千 http://baijiahao.baidu.com/s?id=1620631361905870325 2018-12-23 11:51:43 创事记 微博 作者: 雷建平 滴滴曾欲以估值20亿美元收购ofo文件曝光 https://tech.sina.com.cn/csj/2018-12-23/doc-ihmutuee1867877.shtml 市场快讯: 【滴滴收购ofo文件曝光?滴滴李敏:幼稚得很】 https://www.fx112.com/news/496189.html |








一键同布到我集网·各家微博